(不等式)
1.
,
相加相乗平均:
,
,
は正または
2.
コーシー・シュワルツの不等式
(三角比)
3.
=
正弦定理
4.
余弦定理
5.
=
:
ヘロンの公式

(図形と式)
6.数直線上の
点
,
を
:
に内分および外分する点:
,
7.点

と直線

との距離:
8.だ円

上の点

における接線:
9.双曲線

上の点

における接線:
(ベクトルと行列)
.内積
=
.
=

.
のとき,

は単位行列,
は零行列

(複素数)
.極形式:

,
=

.
,
に対し,

.ド・モアブルの定理:
に対し,
(解と係数の関係)
.
の解が,
,
のとき,
+
=−
,
=
.
の解が,
,
,
のとき,
+
+
=−
,
+
+
=
,
=−
(対数)
.@
A 
B
C 
(三角関数)
.
(加法定理)

.
.
(2倍角の公式)
.
(積
和の変換公式)



.
(和
積の変換公式)



.
,
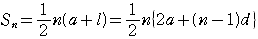
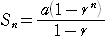
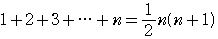
(数列)
.

.初項
,公比
,項数

の等比数列の和:

.


(極限)
.
.
(微分)
.
.
のとき,
.
,
のとき,
.
,
(積分)
.
.
.
.
.
,
,

.回転体の体積:
.曲線の長さ:
(順列
組合せ)
.
=
,
=
=
@
=
+
,A
=

.
:二項定理
(確率)
.確率

の事象が

回の試行中

回起こる確率:
=
.確率変数

の平均
期待
値:
=
=
分散:
=
=
標準偏差:
.二項分布

については,
=
,
=
(極座標)
46.媒介変数表示

47.
48.