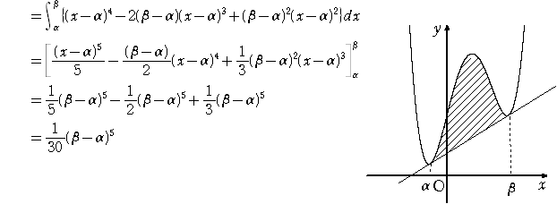
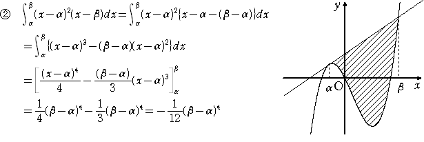
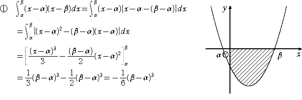
《面積の公式》:公式の適用条件に注意せよ!
※例えば,2次関数のときにAの公式は使えない!



B