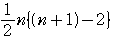
<等差数列の公式>
,
:末項
<等比数列の公式>
,
<
の公式>
=
,
=
,
=
の公式は
もう覚えてくれたことと思うが,この公式が

になるともうわからない人がいる。
確かに
の記号はわかりにくいので,この記号を使わずに書けばよい。
=
+
+
+…+
+
,
=
+
+
+…+
となる。よって,
=
−
=
−
=
=
=
となり,
公式
=
において,


を代入したものになる。
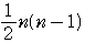
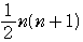
同様にして,
=
,
=
となる。

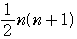
のとき,
=

のとき,
=
なども同様である。
<階差数列の公式>
数列

の階差数列

とするとき,
=
+
は,
のとき
成立する公式であって,
のときは別に調べなければならなかった。
しかし,今まで解いた問題ではいつも不思議に

のときにも成立していた。
もしかしたら,
のときには成立しないような例はないのではないかという
気がしてくる。
次の数列を考えてみよう。
:0,1,1,1,………
,
,

:
1,0,0,0,……… 



この数列の階差数列

は,
,
,
,
,… だから,
に関係なく
=
となる。すなわち,
=
より,
=
+
=
+
=
となり,
これは

のときには成立しない。
階差数列の定義
=
−
より,
=
−
までは定義されるので,
=
+
,
=
+
+
,………,
=
+
+
+…+


のときは階差数列の公式を用いてもよいが,
初項の

については,その前の項を引くわけにはいかないので,

のときは別に考える必要があるわけである。
<漸化式の解法>:隣接2項間漸化式など,種々の漸化式を8パターンに分類した解法
<隣接3項間漸化式の解法>:特性方程式による解法