半径
の円
と半径
の円
があり,その中心間の距離は
である.
この
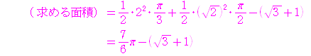
円が重なった部分の面積を求めよ
,
△
に余弦定理を用いると,
=
=
よって
=
も同様.