で定義された微分可能な関数で,どのようなに対しても,
が成り立っている.
 を求めよ.
 が成り立つことを示せ.
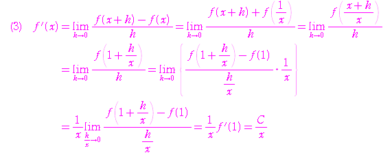
 導関数の定義に従って,の導関数を求めよ.ただし,
 は定数とする.
 を求めよ.

  とすると   よって 
  とすると 
  より であるから 

  は積分定数
  また より