を自然数とするとき,関数について,次の問いに答えよ
 におけるの最小値を,を用いて表せ.
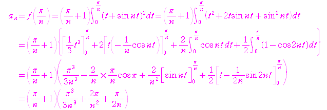
 を求めよ.


 よって,においては,は明らかに増加関数である.
 ゆえに 

  から