円弧軸の周りに回転してできる容器がある.水を一杯に満たし
た後,毎秒ラジアンの割合で空になるまでゆっくり傾ける.このとき
 秒後に,容器内に残る水量はいくらか.
 の最大値とそのときのを求めよ.

  傾けた容器の中心を原点として図をかくと
 図から図のように変化する.
   図                図
   
   図                図
   
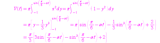
 水面の座標はであるから


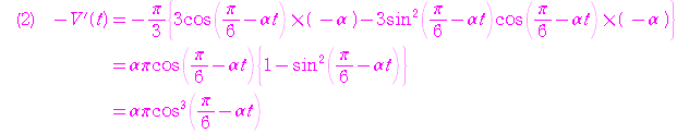
 から 
 ゆえに 
 よって,のとき最大値をとる.