を自然数とするとき,次の問いに答えよ.
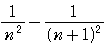
 の大小を比較せよ.
 を数学的帰納法によって証明せよ.

  
             
  ゆえに 

    のとき であるから,成り立つ.
   のとき が成り立つと仮定して,
  のとき を証明する.
  左辺=
    より,
  ゆえに,のときも成り立つ.
  から,すべての自然数に対して,が成り立つ.