次のつの条件を満たす多項式を求めよ
        

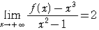
 極限値が存在するから次以下の整式である.
  したがって, すなわち とおける
  このとき 
   であるから 
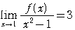
  また, となるためには,分母なので,
   であることが必要である.
   を条件式に代入して,
  
  = よって,  ゆえに,
  逆に,このとき,与えられた等式は成り立つ.
  したがって