等式が成り立つように,定数の値を定めよ.

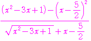
 とおく.
  のときを考えるから,としてよい.
    
      
      
  よって,となるための条件は
         @,A
  でないと極限値は存在しないので,@より 
  ゆえに,Aから 
  逆に,このとき 
  =  のとき)となる.
  よって,