関数
が
で極小値
−
をとるとき,定数
,
の値を求めよ.
また,極大値を求めよ.
で極小値
−
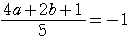
をとるから,
,
よって
,
これを解くと
,
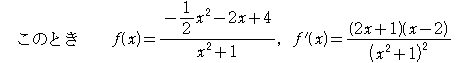
増減表を書くと右のようになる.
よって,
は
で極小となる.
したがって
,
また,
は
で極大値
をとる.