次の曲線の概形をかけ.ただし,は正の定数とする.
             

  とおくと,
  よって,曲線軸,軸に関して対称である.
  まず,の範囲で考える.
  から, から 
    

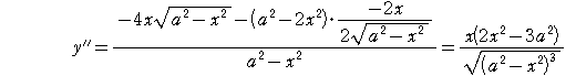
  の増減とグラフの凹凸は,次の表のようになる.

   とおく.
  
  


  であるから,は単調に減少する.
  また,であるから,曲線は下に凸である.
  更に  
  以上により,対称性を考えて,グラフは