異なるを頂点とする四角形が円に内接するとき
は実数であることを証明せよ.

 弧に対する円周角は等しいから
       
   したがって  
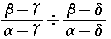
   とおくと,

   から,
   ゆえに,    すなわち,
   よって,は一直線上にある.
   したがって,すなわちは実数である.