<自然対数の定義>
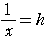
  …@の値.
    

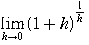
  @においてとおくと,のとき, よって,
   …=

  このを自然対数と呼ぶ.