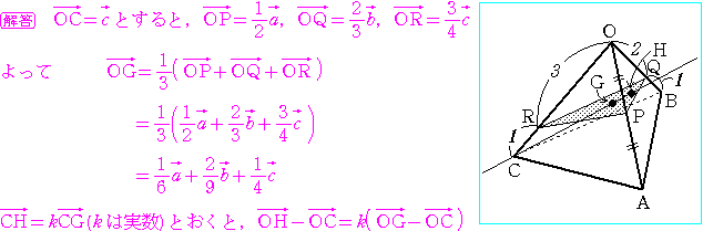
四面体
の辺
,
,
を,それぞれ
:
,
:
,
:
の比に内分する点
を,順に
,
,
とする.点
と
の重心
を通る直線が平面
と交わる
点を
とする.
,
とするとき,
を
と
を用いて表せ.
よって
……
@
また,
は平面
上にあるから,
,
を実数として
すなわち
…
Aと表される.
@
と
A
を比べて,
,
,
これを解いて
,
,
ゆえに