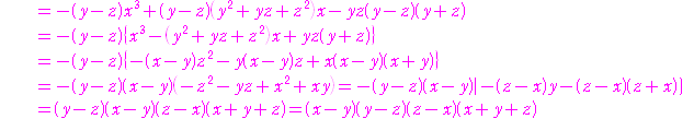
を因数分解せよ.

 与式