座標平面上で,動点は原点を出発して,軸の正の向きにだけ進み,次に
の正の向きにだけ進む.更に,軸の負の向きにだけ進み,次に軸の負の向き
だけ進む.以下,このような運動を限りなく続けるとき,点の極限の位置の
座標を求めよ.

 原点をとし,の進んだ点を図のように
   とする.
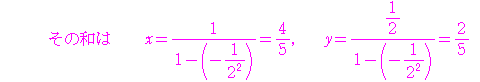
   極限の位置の座標をとすると
    
     
    
    

     
    
   は,ともに公比の無限等比級数で,であるから収束して,

   よって,極限の位置の座標は