は定数とする.方程式の異なる実数解の個数を調べよ.

 から
        ……@,  ……A
  とする.@,Aのグラフの共有点の個数が異なる実数解の個数である.
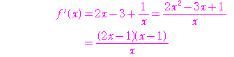
  @とすると

  また 
  よって,の増減表は次のようになる.

    

  したがって,のグラフの概形は右の図の
  ようになる.
  ゆえに のとき  
      のとき  
      のとき