

に対し,逆行列をもつ行列

を見つけて,
の



成分を
にす

に対して,方程式

を対角化してみよう.このとき,上記の方程式



とし,次の行列





を考える.



を満たす

でない



をそれぞれひとつずつ求めよ.



に対し,
が決まる.

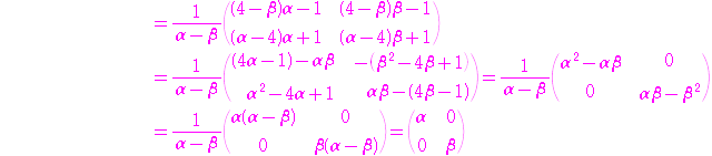
の逆行列を求め,
を示せ.
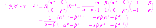
行列

の各成分を
の式で表せ.ただし,
は自然数とする.
方程式

の解が,

であるから
…
@

…
A :この
,
を固有値という.
から


……
B

……
C
より,
であるから
:
:
C
は同値であるから,B
C
を満たす

以外の解の
つは

から

を満たす

以外の解の
つは
したがって 

:この
,
を固有ベクトルという
,
であるから 




……
D
が成り立つと仮定すると
となる.

に対して,D
が成り立つ.
から 

